Mundo Eléctrico

Calidad de la energía eléctrica

Publicado: 12 de junio de 2012 Categoría: Noticias del Sector

Efectos nocivos del desbalance de tensión sobre las máquinas asincrónicas

Calidad de la energía eléctrica

* Por: Dr. C. Marcos de Armas Teyra y Dr. C. Julio R. Gómez Sarduy, Centro de Estudios de Energía y Medio Ambiente.

 

En los últimos años, debido a sus excelentes prestaciones, se ha presenciado una rápida expansión de los dispositivos electrónicos y digitales. De hecho, la propia carrera energética y medioambiental y la necesaria reducción del consumo, la demanda y los costos, han introducido productos de eficiencia superior que contaminan el espectro electromagnético dando lugar a la aparición de perturbaciones que incrementan el calentamiento, las interferencias y los esfuerzos electromecánicos, dieléctrico y la estabilidad y fiabilidad de muchas de las cargas y elementos de un sistema. Estas tecnologías son sensibles a las perturbaciones en las fuentes de suministro y, a la vez, generan disturbios o deformaciones en las formas de onda en los propios sistemas de alimentación. La simple falla u operación defectuosa de un equipo puede interrumpir totalmente un proceso. En consecuencia, si tan sólo ayer se prestaba atención a un grupo relativamente limitado de fenómenos en el sistema, hoy es necesario tomar en consideración un conjunto más amplio de indicadores de calidad, debido a los efectos de ésta sobre la confiabilidad, el confort, el consumo, la demanda, el costo y el diseño de los sistemas de suministro eléctrico. Por esta razón, la calidad del suministro de energía eléctrica es un asunto de especial atención en el escenario tecnológico del momento.

 

De forma general, los problemas que afectan la calidad de la energía se desarrollan en cualquiera de los niveles de un sistema electroenergético y por muchas causas. Ocurren desde la transmisión, subtransmisión o distribución y son causados, además, por particularidades de las cargas en las propias instalaciones del usuario. Por ejemplo; se pueden tratar estados de fallas y averías, descargas atmosféricas, desbalances de tensión, operaciones de conexión y desconexión, cargas no lineales, mantenimiento defectuoso, uso de generadores emergentes, etc. Uno de los aspectos de larga duración que afecta considerablemente la operación de los sistemas eléctricos aumentando las pérdidas, distorsionando el factor de potencia e incrementando el consumo de energía es el desbalance de tensión. No obstante, muchas empresas y compañías ignoran la presencia de este fenómeno en sus sistemas de potencia. A modo de ejemplo de su interacción indeseable se comentarán, de forma sencilla dos casos presentados en la práctica.

 

Desbalance de tensión

 

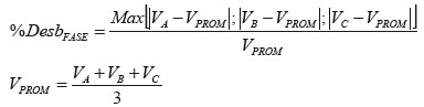
La norma IEEE 1159–1995 define el desbalance en un sistema trifásico como la máxima desviación de la tensión de una de las fases de la tensión promedio, dividido por la tensión promedio de las tres fases. Esto es:

 

 

Por su duración esta norma lo define como un fenómeno de carácter estable cuyos límites se encuentran normalmente entre un 0,5 y un 2 por ciento. En Europa, la norma EN 50160 precisa que: “en condiciones normales de explotación durante una semana y efectuando mediciones cada 10 minutos, el 95 por ciento de los valores eficaces calculados de la componente de secuencia negativa de la tensión debe encontrarse entre el 0 y el 2 por ciento de la componente directa”. En Francia, EDF estima que este indicador es variable y debe encontrarse entre 0,5 y 2 por ciento.

 

La norma ANSI C50.41.4.2 establece que un desbalance de tensión superior a un 1 por ciento es una condición inusual que debe eliminarse. La norma IEC 34.1.12.2.1 plantea que los motores deben ser capaces de operar por un largo período de tiempo con un desbalance de un 1 por ciento o, por un corto período de tiempo que no exceda varios minutos con un desbalance de 1,5 por ciento. La norma NEMA MG1 14.35 establece una depreciación de los motores en función del desbalance. Todas estas normas están de acuerdo en dos cuestiones básicas; primero, el desbalance es perjudicial y segundo, aunque es un fenómeno de carácter estable, su magnitud es continuamente variable. Las mediciones de campo claramente indican esta naturaleza del desbalance de tensión debido a la variación continua del estado de carga y la configuración del sistema. Estas variaciones ocurren frecuentemente de forma aleatoria y deben ser procesadas estadísticamente. Aunque las normas citadas sitúan el desbalance en estado normal por debajo del 1 por ciento, y valores superiores lo consideran una condición inusual que debe evitarse, numerosas empresas se encuentran sometidas a estas condiciones inusuales.

 

Desbalance en un acueducto

 

La Figura 1 muestra una vista de la estación de bombeo del acueducto donde se presenta determinado nivel de desbalance.

 

Figura 1 Foto de la estación de bombeo del acueducto

 

La Figura 2 muestra el comportamiento del desbalance de tensión en esta estación de bombeo donde se alimentan seis motores asincrónicos; cuatro de 240 y dos de 158 kW a partir de las mediciones realizadas durante cinco días aproximadamente con registros efectuados cada 20 minutos.

Ver Figura 2. Desbalance IEEE

 

En la Figura 3 se muestra el histograma donde se puede apreciar que la distribución no es totalmente normal debido a que existe algún factor determinístico en el comportamiento. En efecto; como se observa, el nivel de desbalance depende del estado de carga y su valor aumenta con la misma.

 

Ver Figura 3. Histograma del desbalance En la Tabla 1 se observa que los motores de esta instalación operan con un desbalance igual o superior al 1 por ciento IEEE durante el 61.86 por ciento del tiempo total de explotación, equivalente a 3,22 días de los 5,2 registrados.

 

 

 

Aunque se debe limitar la potencia que desarrollan las máquinas como recomiendan las normas, esta acción no se efectúa reduciendo la vida útil a la vez que existe un exceso de energía consumida para efectuar el bombeo.

 

Ver Tabla 1

 

Si se acepta como normal la potencia de asimetría demandada cuando el desbalance es inferior a un 0.6 por ciento según la IEEE, se verá en la Figura 4 que su valor es del orden de los 4,5 kW y que para desbalances superiores o iguales al 1 por ciento se alcanzan los 8,5 kW. La diferencia indica una demanda superior en 4 kW, que durante las 82 horas en que se operó con este régimen durante el registro realizado, producen un consumo de energía adicional de 328 kWh. Quizás parezca un valor pequeño e insignificante. Sin embargo, debe pensarse que sólo se han registrado 5,2 días y que la planta trabaja todo el año, lo que equivale a 23 MWh anuales, a la quema de más de 7 T de fuel oil, y la emisión de aproximadamente 24 T de CO2 al medioambiente. Evidentemente el desbalance es un problema de eficiencia energética en los sistemas eléctricos de potencia que produce demandas y pérdidas de energía adicionales que deben ser atendidos por las compañías y por los usuarios de estos servicios polifásicos.

 

 

 


 

Efecto del desbalance de tensión sobre el calentamiento del motor asincrónico

 

Los motores eléctricos son las cargas más sensibles al desbalance de tensión. Se conoce bien que cuando un motor asincrónico está alimentado desde una red con tensiones asimétricas, tiene lugar una reducción de la potencia útil desarrollada y de la eficiencia. La reducción de la eficiencia es motivada fundamentalmente por el incremento en las pérdidas de cobre del estator, del rotor, las adicionales y las de núcleo, debido a la circulación de corrientes de secuencia negativa, lo que provoca a la vez un aumento en el calentamiento de los devanados. Para estimar el calentamiento adicional en una máquina asincrónica, se toma como ejemplo el motor de 100 kW, 440 V del lavadero 1 y 2 de Santa Martina (Municipio Cumanayagua, Provincia Cienfuegos). El desbalance en los terminales del motor fue medido durante 3 días con un analizador de redes y los valores muestran un comportamiento aleatorio, que se ajusta a una distribución normal como se observa en la Figura 5, con parámetros de valor medio y desviación estándar  respectivamente.

 

 

La NEMA - National Electrical Manufacturers Association y varios investigadores sugieren que cuando las tensiones son desbalanceadas, el porcentaje de aumento del incremento de temperatura es aproximadamente igual al doble del porcentaje de desbalance de tensión [1]. Esto puede expresarse como:

 

 

 

 

 

Estos parámetros definen la curva teórica de probabilidades del porcentaje de incremento de temperatura del motor que se muestra en la Figura 6.

 

Como puede verse, para el caso del motor considerado, existe una probabilidad del 90 por ciento para que su incremento de temperatura supere en 6,8 por ciento el incremento de temperatura en condiciones de tensiones balanceadas. Existen otros modelos para determinar el incremento de temperatura, propuestos por diferentes investigadores en función del desbalance de corriente y otros parámetros del motor [4]. De igual manera, se puede encontrar para ellos la distribución de probabilidades, así como una distribución para la duración de la vida del aislamiento, considerando la relación no lineal entre incremento de temperatura y tiempo de vida del aislamiento.


Conclusiones

 

El desbalance es un problema de calidad de la energía que está presente en muchos sistemas de suministro eléctrico. Su efecto es nocivo y conlleva al deterioro de la eficiencia de los motores eléctricos con un incremento del consumo energético para la instalación y por ende un consumo adicional de combustible fósil y de las emisiones de CO2 a la atmósfera.

 

Por otro lado, el incremento de temperatura que provoca en los motores afecta su vida útil y puede conllevar a fallas prematuras que incrementan los costos y la competitividad de las empresas. Esto hace que el desbalance se convierta en un problema de eficiencia energética y de confiabilidad para el desempeño de la maquinaria eléctrica por lo que debe ser atendido por las compañías y por los usuarios de estos servicios polifásicos.